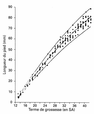
Courbe de la croissance du pied fœtal
(d'après MERCER B.M.et Coll. Am. J. Obstet. Gynecol., 1987, 156, 350-355)
Technique de mesure de la longueur du pied fœtal
Le pied fœtal se mesure soit en coupe sagittale (pied de profil), soit en coupe frontale (image de "voûte plantaire").
La courbe de croissance est parallèle à celle du fémur jusqu'à 25 SA, la croissance du pied étant plus rapide ensuite.
Le rapport pied / fémur est inférieur à 1,19 si le pied est dans la norme.
Rapport des segments des membres chez le fœtus =
Humérus / Tibia-péroné
et
Fémur / Radius-cubitus
est égal et constant au cours de la grossesse
Rapport fémur, humérus et BIP
*
Longueur du fémur fœtal = -9,3105 + 0,9028 x BIP
Longueur de l'humérus fœtal = -7,9404 + 0,8492 x BIP
Rapport : fémur mésuré / fémur attendu
Considéré pathologique quand il est égale ou inférieur à 0,91
Rapport : humérus mésuré / humérus attendu
Considéré pathologique quand il est inférieur à 0,90
Source : Benacerraf BR, Nadel A, Bromley B
Radiology. octobre 1994 ; 193 : 135 - 140
BIP = diamètre bipariétal
Site du Dr Aly Abbara
www.aly-abbara.com
www.avicenne.info
www.mille-et-une-nuits.com